Robert Rantz

Mathematical Model of Building Vibration

Summary

Perhaps the most obvious reason for developing a mechanical model of buildings concerns the effects that an earthquake may have on the behavior of the structure. There are other, less obvious, reasons for creating such a model; for example, if a particular floor experienced unusual forcing, how might that affect the behavior of the whole building? This scenario might arise in the case of a large rotary machine, mounted on a particular floor, operating in a condition of unbalanced rotation, and represents the focus of this study.

Goal

In this informal modeling project, I create a simple and scalable (to arbitrary number of floors) lumped-element mathematical model of a building subject to harmonic excitation acting on a particular floor.

Approach

A building’s structural elements are more closely described by continuous media; why, then, choose a lumped-element model? There are a few reasons:

  1. A lumped-element model, represented by Ordinary Differential Equations (ODEs) is simpler to derive and more tractable than a model that assumes continuously distributed elements, which are represented by Partial Differential Equations (PDEs).
  2. There is a substantial literature around the solutions to and analysis of systems of ODEs, as well as the control of such systems.
  3. Perhaps most importantly, it’s a surprisingly good model of building vibration behavior and has been used even in fairly recent and well-cited research publications!

That being said, I don’t claim to have any specific expertise in structural engineering beyond that which finds home in a mechanical engineer’s education. Caveat emptor!

To keep things very simple, consider a building with three floors above ground level, connected by compliant components (the walls and other structures that support the floors) and an unbalanced machine that will provide the vibration input:

Building schematic
A building schematic indicating three floors above ground, connected by compliant walls, and a large, unbalanced machine mounted to the first floor above ground level.
Major Assumptions

Modeling is as much an art as it is a science; mathematical models are, initially, a product of intuition and guesswork since one typically cannot know a priori all of the salient factors that influence the behavior of a model with great certainty until empirical work is carried out. Making a model is, therefore, a sort of back-and-fourth between proposing the underpinnings of a system and corroborating that proposal with experimentation until the model is adequately predictive. Of course, many models have been proposed for many different systems, so starting with secondary research for the system of interest is always helpful when developing a model, as is access to extant empirical data for validating a modeling hypothesis. In this case, ample work exists in the lumped-element modeling of buildings that may be drawn upon for model parameter population and validation.

To make the guesswork part of model development more explicit, I like to enumerate all of the major modeling assumptions that I plan on making before creating a model consistent with those assumptions; if the model fails to predict reality in the way I’d like, I can then turn my attention to the list of assumptions to try to determine which one may not be valid.

Here are some of the more consequential assumptions I make for the building model:

  • Massless springs (i.e., walls and floor supports are massless, or assume that equivalent additional wall mass is added to each floor mass)
  • Deflections are small such that only horizontal motion of the floors need be considered.
  • Angular velocity of the motor is an independent input; that is, there is no backwards coupling from the floor motion to the motor.
  • Linear elastic behavior in the range of motion considered in the model
  • Forces in the vertical direction are ignored.
  • The floors act as point masses (this is essentially a restatement of some of the assumptions above; in this way, we need not consider general planar rigid body motion).
Variable Definitions

mf – mass of second floor (the driven floor)

mm – mass of the machine (less the eccentric mass)

me – mass of eccentric mass

e – radial distance from rotating center to eccentric mass

ω – angular velocity of motor output

k1, k2, k3 – stiffness of each set of wall and floor supports

x1, x2, x3 – absolute displacement of each floor (measured from ground frame of reference)

t – time

Also: m1 = mf + mm

Note that the above list of variables is not necessarily exhaustive; however, the meaning of any variable introduced later should be clear in context.

Dynamics of Motor Input

Since backwards coupling from the floor to the unbalanced mass is assumed to be negligibly small, an analysis of unbalanced rotation is carried out to determine the forcing from the motor to the floor.

Input function derivation
Deriving the horizontal force input caused by unbalanced rotation
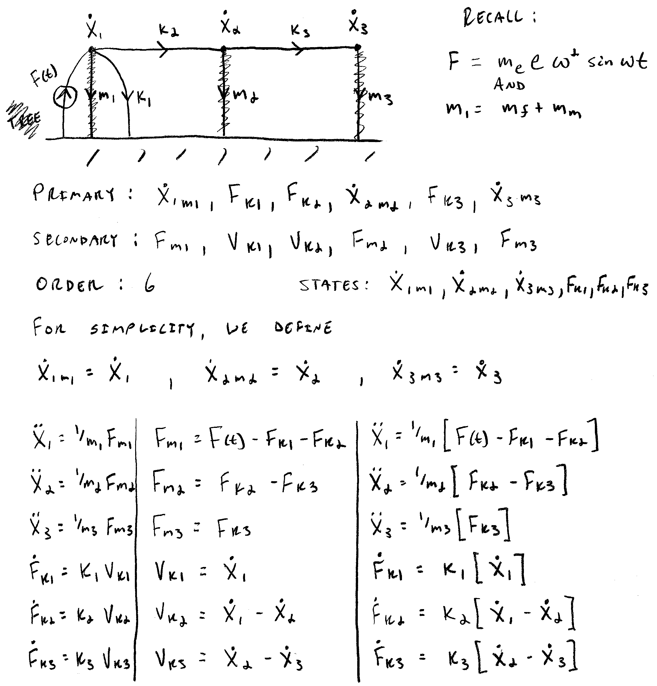
Linear Graph

The term linear graph refers to a graphical representation of a system and also a generic, multi-domain, graphical modeling technique that could be considered a generalization of electrical circuit models – in fact, when you look at a linear graph, you’re very nearly looking at an equivalent circuit model. Rules for finding the normal tree are used to determine independent energy storage elements, which constitute the system states. Equations that arise from application of the compatibility condition (a generalization of Kirchhoff’s voltage law) and continuity condition (a generalization of Kirchhoff’s current law) allow for algebraically finding the state equations. Care is taken to avoid causality conflicts and algebraic loops, which often arise from poor modeling assumptions and are not always immediately obvious when modeling multi-domain systems.

Linear graph
Linear graph with normal tree shaded. Primary, secondary, and state variables are listed. Some of the initial stages of state equation derivation (which makes use of the continuity and compatibility conditions) are shown in the columns.
Bond Graph

As with a linear graph, the term bond graph refers to both a graphical representation of a dynamical system as well as a generic, multi-domain, graphical modeling technique that aids in the understanding of systems and in the derivation of the state equations. Elements in the graph are connected with bonds that represent bi-directional exchange of energy. Similar to identification of the normal tree with linear graphs, causality assignment is used to determine the independent energy storage elements in the system and thus the state variables. Compatibility and continuity conditions allow for the algebraic isolation of the state variables. Care is taken to avoid causality conflicts and algebraic loops, which often arise from poor modeling assumptions and are not always immediately obvious when modeling multi-domain systems.

Bond graph
Bond graph for the building model. Causality is indicated with slashes perpendicular to the bonds. The topology of the bond graph is identical to that of the linear graph.
State Equations

Either the linear graph or bond graph may be used, together with the element and transducer constitutive relations, to derive a state-space representation of the system. Since the nonlinearities in this system were ignored for the sake of keeping a toy problem simple, the state-space representation may take the familiar matrix form:

State space matrices
State-space representation of the building model in matrix form. The floor positions are used for the model output.

Notice that the system matrix is fairly sparse; the entries appear in a predictable pattern, and the model can be easily extended to an arbitrary number of floors without the need to rederive the state equations from scratch!